Telomere biology disorders (TBDs) caused by germline variants in TINF2 are a common cause of severe disease presenting in early childhood. Progressive bone marrow failure in patients with TBDs is often treated with androgens, known to improve hematopoiesis but with a controversial impact on telomere elongation. Here, we report a unique case of a young TINF2 male patient that had a striking recovery of blood counts and robust telomere elongation in peripheral blood cells during treatment with histrelin, a gonadotropin-releasing hormone (GnRH) agonist and inhibitor of testosterone production. We investigated whether underlying clonal events were linked to blood counts and telomere length (TL) dynamics.
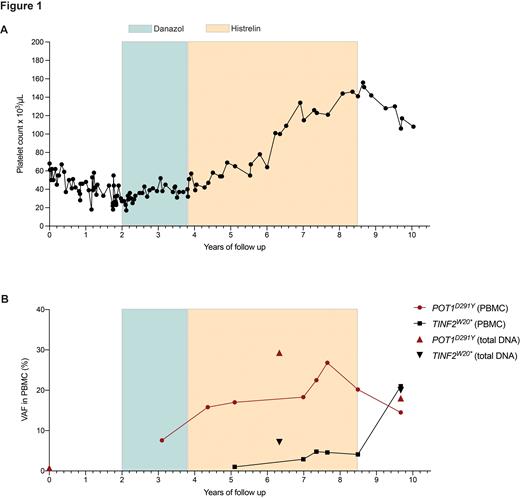
We extracted medical information and collected peripheral blood mononuclear cells (PBMCs) and bone marrow mononuclear cells (BMMNCs) over an 10-yr period beginning at diagnosis (age 4), which was based on cytopenias, marked marrow hypocellularity, very low TL in all leukocyte subsets by Flow-FISH, and a de novo TINF2 p.K302Rfs*17 germline variant. Following 2 yrs of observation, he was started on danazol for progressive cytopenias but it was discontinued after 21 months due to the onset of danazol-related precocious puberty, for which histrelin was administered via subcutaneous implants over 4.7 yrs. Hemoglobin levels normalized while on danazol and remained stable at last follow-up. Although platelet counts increased and stabilized at ~ 40,000 on danazol, they steadily increased after initiation of histrelin up to 156,000; they then gradually declined to 108,000 over the 18 months following removal of the last histrelin implant (Fig. 1A). The absolute neutrophil count normalized while on histrelin and has remained in normal range. While TLs remained very low in all leukocyte subsets while on danazol, they either stabilized or minimally changed (+/- 0.2 kb) in lymphocytes, CD45RA+, CD45RA-, and CD57+ cells or increased by 2.8 kb or 1 kb in granulocytes and B cells, respectively. While on histrelin, TL further increased in the lymphocytes, granulocytes, and B cells to max gains of 0.4 kb, 3 kb, and 2 kb, respectively. Fourteen months after discontinuing histrelin, TL shortened in all subsets.
Screening of PBMC at 8.5 yrs of follow-up for clonal hematopoiesis (CH) in myeloid and telomere-related genes by error-corrected DNA sequencing identified POT1 p.D291Y and TINF2 p.W20* variants at variant allele frequencies (VAFs) of 20% and 4%, respectively, as likely somatic genetic rescue (SGR) mechanisms (Fig. 1B). POT1 D291Ywas retrospectively tracked at a VAF of 0.7% in total DNA before any treatment and found at a VAF of 8% in PBMC collected during danazol treatment, 27% during histrelin treatment, and 14% after histrelin discontinuation. TINF2 W20* emerged while on histrelin at a VAF of 1% in PBMC; this mutation VAF slightly increased during histrelin treatment but robust clonal expansion up to a VAF of 21% was not seen until off histrelin. Hematologic improvement, particularly thrombocytopenia, and continued telomere elongation in granulocytes and B cells (CD20+) coincided with clonal expansion of the POT1 D291Y variant.
Single-cell proteogenomic sequencing of BMMNCs evidenced POT1 D291Y and TINF2 W20* as independent clonal events that emerged in CD34+ hematopoietic stem cells (HSC) and were present both in the megakaryocytic and erythroid, and myeloid and lymphoid progenitor cells. During histrelin treatment, POT1 D291Y dominated the landscape and associated with increased lymphocyte counts, being present in 30% of HSC and progenitor cells, myeloid cells, and T lymphocytes. When histrelin was discontinued, hematopoiesis greatly shifted toward myeloid production, which coincided with TINF2 W20*clonal expansion and a substantial reduction of progenitors and CD8+ cells. Single-cell RNAseq of BM HSC revealed similar transcriptional profiles while on danazol and histrelin compared to baseline, with up and downregulation of inflammatory pathways and MYC targets, respectively; these programs were enhanced while on histrelin compared to danazol.
In summary, we characterized a unique combination of SGR events in a patient with a TINF2 germline mutation, which can guide future research on new therapeutic strategies. As opposed to androgens, histrelin promoted the specific expansion of POT1 clones with proliferation of HSC and progenitor cells, improved hematopoiesis, and increased TL.
Disclosures
No relevant conflicts of interest to declare.

This feature is available to Subscribers Only
Sign In or Create an Account Close Modal